
关键词:玄武岩纤维;海水海砂地聚物复合材料;抗拉行为;增韧机制;本构模型
DOI:10.1016/j.compositesb.2025.113290
论文速递

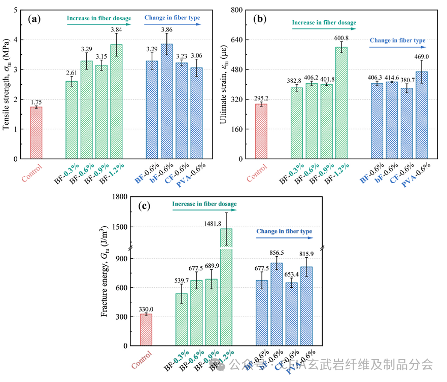
本研究开发了玄武岩纤维增强海水海砂地质聚合物复合材料(BFRGC),通过单轴拉伸试验、数字图像相关(DIC)和扫描电子显微镜(SEM)等技术,系统探究了不同玄武岩纤维(BF)含量(0–1.2 vol%)对材料拉伸性能、多尺度损伤演化及增韧机理的影响,并与碳纤维(CF)、聚乙烯醇(PVA)纤维的增强效果对比;发现 BF 通过强界面结合与裂纹偏转主导峰前损伤过程,而非传统纤维的裂后桥接,当 BF 含量为 1.2 vol% 时效果最优,拉伸强度、极限应变和断裂能分别较无纤维对照组提升 119%、104% 和 349%,且建立了能准确预测不同纤维含量下 BFRGC 全范围拉伸行为的统一本构模型,为其海洋工程应用提供理论支撑。
研究背景
地聚物材料核心优势:地聚物是通过碱激活矿渣等工业副产品形成的低碳胶凝材料,具有三维铝硅酸盐网络结构。其具备优异的力学性能、致密的微观结构,且耐高温、抗化学腐蚀,在对耐久性要求高的海洋工程等基础设施领域拥有显著应用潜力。
海水海砂制备的可持续价值:采用海水和海砂制备地聚物复合材料,为沿海建设及偏远岛屿地区提供了可持续的建材解决方案。这类复合材料在长期海水暴露后,强度保留率优于普通水泥基复合材料,更契合海洋工程的环保与可持续发展需求。
现存关键问题:地聚物具有类陶瓷特性,存在显著的固有脆性,这一缺陷限制了其工程可靠性和应用范围。纤维增强是改善地聚物高脆性、低韧性的有效手段,但不同纤维在高氯等海洋服役环境中面临各自挑战,如钢纤维易腐蚀、聚合物纤维能耗高或易降解、碳纤维成本高。
玄武岩纤维(BF)的突出优势:玄武岩纤维是通过天然玄武岩高温熔融、高速拉丝制成的无机纤维,具有低碳足迹、抗氯腐蚀、抗紫外线能力强以及原料储量丰富等优势,相比其他纤维更适配海洋工程场景,在建筑材料领域受到越来越多的关注。
已有研究基础:已有研究证实,玄武岩纤维对水泥基和地聚物复合材料具有显著的增强改性效果,能提升材料宏观力学性能,在高温、盐溶液等极端环境下稳定性良好,其增强作用源于微观层面的协同机制,包括改善界面结构、促进凝胶生成等。
研究缺口与本研究目标:现有研究尚未系统探究玄武岩纤维在海水海砂地聚物复合材料中的拉伸行为与损伤演化规律,对其多尺度增韧机理的研究不足,且缺乏适配不同纤维含量的拉伸本构模型。本研究旨在填补这些缺口,探究不同玄武岩纤维含量对材料拉伸性能的影响,揭示增韧机理,建立统一本构模型,为该材料的海洋工程应用提供理论支持。
研究方法
试验材料
选择了粉煤灰(FA)和磨细高炉矿渣(GBFS)作为前驱材料,按照质量比1:1混合。人工海水作为混合水,天然海砂作为细骨料。使用了四种短纤维,包括两种玄武岩纤维(BF和bF)、碳纤维(CF)和聚乙烯醇(PVA)纤维。
试验方法 单轴拉伸试验:通过单轴拉伸试验,结合数字图像相关(DIC)和扫描电子显微镜(SEM)技术,定量分析了不同BF含量(0-1.2 vol%)对复合材料性能的影响,并与碳纤维(CF)和聚乙烯醇(PVA)纤维的增强效果进行了比较。 损伤演化分析:通过DIC技术监测裂纹的扩展过程,分析不同纤维在损伤过程中的作用机制。 微观结构分析:利用SEM技术观察断裂表面的微观结构,揭示纤维与基体之间的界面相互作用和损伤模式。 研究结论 破坏模式:所有试件均呈现脆性断裂特征,断裂时形成单一主裂纹, fracture surface 较平整且垂直于加载轴,未出现明显延性表现。纤维(包括不同含量的 BF 及 CF、PVA 纤维)未改变材料脆性断裂的本质,核心作用是通过形成三维钉扎网络抑制微裂纹萌生与扩展,提高临界裂纹形成的能量阈值,而非提供裂后延性,使材料表现为强度增强的准均质材料。 拉伸应力 - 应变曲线特征:所有纤维增强地聚物复合材料(FRGC)的应力 - 应变曲线均呈现准脆性响应,可分为线性弹性、非线性强化、突发破坏三阶段。与对照组相比,BF 的加入使曲线非线性段更显著,且 BF 含量越高,非线性段越长,表明材料吸收能量能力越强;相同含量(0.6vol%)下,BF、bF、CF 组曲线形态相近,PVA 组非线性段更延长,反映出不同纤维与地聚物基体的相互作用差异。 关键力学性能指标 拉伸强度:BF 含量对强度影响呈非单调趋势,0.3vol% 至 0.6vol% 上升、0.9vol% 因纤维团聚略有下降、1.2vol% 达峰值 3.84MPa(较对照组提升 119%);0.6vol% 含量下,bF 强度最优(3.86MPa),BF、CF、PVA 依次递减。 极限应变:随 BF 含量增加整体上升,1.2vol% 组达 600.8με(较对照组提升 104%);0.6vol% 含量下,PVA 组应变能力最优(468.95με),显著高于 BF 和 CF 组。 断裂能:随 BF 含量持续增长,1.2vol% 组达 1481.76J/m³(较对照组提升 349%);0.6vol% 含量下,bF 和 PVA 组断裂能分别为 856.51J/m³、815.87J/m³,优于 BF 和 CF 组。 DIC 应变场分析:对照组应变集中明显,裂纹呈单一路径快速扩展;FRGCs 应变场更均匀,损伤区更广泛。BF 含量越高,应变分散效果越显著,1.2vol% 组微裂纹分布更广,纤维形成致密应力传递网络,有效分散荷载;不同纤维类型中,PVA 组损伤过程区最宽(源于自身高延性),BF、bF、CF 组以裂纹偏转为主,其中 bF 组裂纹偏转更显著,与更高的断裂能一致。 微观作用机制(SEM 分析) BF 组:主要通过界面脱粘、摩擦耗能增韧,低含量时分散均匀,1.2vol% 时形成三维纤维网络但存在局部团聚,强界面结合促进裂纹偏转。 bF 组:纤维直径更大,界面结合更强,裂纹呈 Z 形偏转,耗能显著,是 0.6vol% 含量下强度最优的原因。 CF 组:纤维表面光滑、化学惰性,界面结合较弱,脱粘孔隙多,限制了增韧效率。 PVA 组:纤维发生颈缩与延性断裂,通过自身塑性变形耗能,是其应变能力最优的核心机制。 关键问题 问题1:玄武岩纤维(BF)在海水和海砂地质聚合物复合材料中的增强机制是什么? 玄武岩纤维(BF)在海水和海砂地质聚合物复合材料中的增强机制主要通过抑制微裂纹的起始和传播来实现。具体来说,BF的加入显著提高了复合材料的拉伸强度、极限应变和断裂能量。BF在预峰损伤过程中起主导作用,改变了传统的裂纹桥接机制,通过形成强烈的三维网络来抑制微裂纹的扩展。这种机制使得材料在达到峰值应力之前能够吸收更多的能量,从而延长了非线性阶段,显著提高了材料的能量阈值。此外,SEM分析显示,BF在高含量下会出现纤维聚集现象,导致强度呈现非单调趋势,但总体上BF-0.6%表现出最强的界面键合,促进了有效的裂纹偏转。 问题2:数字图像相关(DIC)技术在监测复合材料裂纹扩展过程中起到了什么作用? 数字图像相关(DIC)技术在监测复合材料裂纹扩展过程中起到了关键作用。通过DIC技术,研究人员能够实时跟踪和分析复合材料在拉伸过程中的变形和裂纹扩展情况。在加载过程中,DIC摄像机以每秒1帧的速度记录裂纹在指定测试区域的演变,生成的图像经过处理和分析后,可以得到应变场分布和裂纹扩展速度等关键参数。这些数据帮助研究人员定量评估不同纤维类型和含量对复合材料损伤过程的影响,揭示了纤维在抑制微裂纹扩展和提高材料韧性方面的作用机制。例如,DIC分析显示,BF-0.6%的复合材料在裂纹扩展过程中表现出更广泛的损伤区域和更均匀的应变场分布,表明纤维的加入显著延迟了应变局部化,促进了损伤扩散。 问题3:本文提出的统一本构模型如何预测不同纤维含量下的拉伸行为? 本文提出的统一本构模型通过分段函数形式描述了玄武岩纤维增强海水和海砂地质聚合物复合材料的单轴拉伸应力-应变关系。该模型分为两个部分:当应变小于等于1时,模型采用非线性弹性段和预峰非线性段来描述材料的变形行为;当应变大于1时,模型采用一个分段函数来描述材料在峰值应力之后的软化行为。为了提高模型的预测能力,模型参数(如最终拉伸强度、最终拉伸应变、上升段形状参数和下降段形状参数)通过实验数据拟合得到,并进一步建立了这些参数与纤维体积分数(Vf)之间的数学关系。通过两步验证方法,首先使用实验测得的峰值应力和应变作为锚点生成校准预测曲线,然后使用理论参数生成理论预测曲线,结果表明该模型能够高精度地再现实验数据,并具有合理的预测能力,适用于不同纤维含量的复合材料拉伸行为预测。 总结与补充 本文系统研究了玄武岩纤维增强的海水和海砂地质聚合物复合材料的拉伸行为和多尺度增强机制。研究发现,BF的引入主要通过抑制微裂纹的起始和传播来显著提高复合材料的拉伸强度、极限应变和断裂能量。提出的统一本构模型能够准确预测不同纤维含量下的拉伸行为,为BFRGCs的性能评估和结构设计提供了可靠的理论支持。未来的研究应进一步评估BFRGCs在长期复杂环境条件下的耐久性。




关键词:玄武岩纤维;海水海砂地聚物复合材料;抗拉行为;增韧机制;本构模型DOI:10.1016/j.compositesb.2025.113290论文速递本研究...

来源:复合材料学报出版年份:2025年作者:石南,龙关旭,周子桓,孙亚民,韦少东,黄飞衡,张泽军作者单位:山东高速建设管理集团有限公司,清华大学论文链接:10....

2025年12月1日,由四川玄武岩纤维新材料研究院(创新中心)(简称研究院)自主研制的大型玄武岩纤维复合材料海洋养殖网箱与陵水福湾金霆海洋旅游发展有限公司(简称...